01 [导读]
SnPx具有分层晶体结构,由交替排列的Sn和P层组成,使外部离子易于插入,进一步暴露更多的表面反应活性位点。此外,由于P原子比金属原子电负性高,所以SnPx的电子云密度分布可控。金属原子的电子云将偏向P原子,使P原子带负电荷,从而吸附更多的氧气分子。此外,SnPx还具有丰富的酸性P空位位点,有利于碱性气体(如NH3)的吸附。然而,在传统合成工艺中,SnPx纳米颗粒的通常会团聚,导致导电性和表面活性位点降低,从而阻碍其在气体传感器中的应用。还原氧化石墨烯(rGO)作为一种导电材料,具有高载流子迁移率和比表面积的优点。在rGO上修饰SnPx可以有效抑制体积膨胀和颗粒聚集。此外,SnPx和rGO之间的异质结构还将提供更多的表面吸附位点并促进电荷转移,从而带来更好的感应性能。然而,对SnPx材料的表面气体吸附情况及其气敏性能与敏感机制的研究尚不充分。
02 [成果掠影]
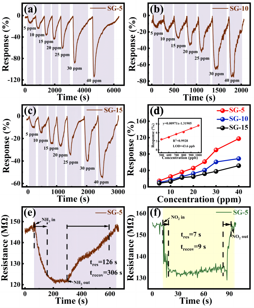
本文制备了SnPx/rGO复合材料,用于室温下NH3气体传感。结构表征表明,在rGO表面均匀分布了小尺寸的SnPx,且存在丰富的酸性P空位位点。气体传感结果显示,SnPx/rGO复合材料的响应值在磷化比为1:5(SG-5)时,对40 ppm的NH3的响应值可达117.5%。SG-5还对低浓度的NH3气体(响应值:500 ppb NH3下响应3%)表现出高响应性和43.6 ppb的LOD。此外,通过NH3-TPD和原位DRIFTs分析,研究了NH3分子在材料表面的物理吸附和脱附情况。更有趣的是,由于不同的吸附位点和导电通道,SnPx/rGO复合材料在暴露于还原气体和氧化气体时表现出不同的气敏传感类型。在不同背景气氛下的传感响应及DFT计算结果表明,NH3气体主要被吸附在异质结上与表面吸附氧反应,表现出n型气敏传感性能。然而,NO2气体主要被吸附在rGO表面吸引电子,表现出p型传感行为。该项工作以标题为” Investigation of p-n sensing transition and related highly sensitive NH3 gas sensing behavior of SnPx/rGO composites”,于2023年6月28日发表在期刊Chemical Engineering Journal上。该杂志属于Elsevier出版社,中科院分区一区,2022年影响因子16.7。

03 [核心创新点]
1. 由于NH3与NO2在SnPx/rGO表面的吸附能及导电通道不同,传感器对还原性及氧化性气体表现出不同的p-n响应属性。
2. NH3-TPD和DRIFTs分析结果揭示了NH3气体在SnPx/rGO表面的吸附为物理吸附,且在室温下可以完全的脱附。
3. SG-5对低浓度的NH3气体表现出高响应性(响应值:500 ppb NH3下响应3%)和较低的检测极限(LOD:43.6 ppb)。
04 [数据概览]
图1. SG-5 (a)、SG-10 (b)和SG-15 (c)传感器在室温下对NH3的动态传感性能。传感响应随NH3浓度的变化(d)(附图为对低浓度NH3气体的响应)。SG-5对10 ppm NH3气体(e)和10 ppm NO2气体(f)在RT下的响应-恢复过程。

图2.SnPx/rGO的气敏响应机制(a)及能带结构(b-d)

图3. 空气、O2和N2背景下SG-5对10 ppm NH3 (a-c)和10 ppm NO2 (d-f)的响应循环曲线。
05 [成果启示]
结果表明,SG-5复合材料在RT下对40 ppm NH3具有最大的传感响应(117.5%),LOD为44.6 ppb。通过TPD和原位DRIFT证实了NH3气体在材料表面的物理吸附。此外,由于吸附位点和导电通道的不同,该传感材料对还原性和氧化性气体也显示出相反的传感类型。不同背景气体气氛下的气敏结果结DFT计算表明,NH
团队介绍
徐锡金教授,主要从事二次电池相关领域的研究,包括电极材料的开发、电化学反应机理研究以及电池体系的设计组装等。相关工作在Advanced Energy Materials、Nano Energy、Science Bulletin、ACS Nano等领域内知名SCI杂志及卓越期刊等杂志社发表研究论文200余篇,其中4篇论文选为封面文章,高被引论文8篇,被引10000余次,H 因子 54,授权发明专利20余件,主持多项省部级重点项目。担任中国颗粒学会第八届常务理事、中国颗粒学会超微颗粒专业委员会秘书长、第七届稀土晶体专业委员会委员、山东省光物理专业委员会、中国化学快报青年编委、《稀有金属》、《Rare Metals》两刊青年编委、《中国粉体技术》第七届编委会成员。第一位身份获得山东省自然科学奖二等奖、中国颗粒学会自然科学奖二等奖、山东省留学人员回国创业奖等奖项,以及山东省优秀研究生导师、av动漫
优秀教师/优秀共产党员等荣誉及称号。王晓副教授,主要从事于新型半导体气体传感器的探究,包括高性能气敏传感材料的结构设计及其规模化器件组装、自供电电化学气体传感器材料的结构设计及其器件组装。以第一/通讯作者在Chemical Engineering Journal,Journal of Materials Chemistry A,Sensors and Actuators B: Chemical等期刊上发表论文30余篇。获得国家自然科学基金、山东省教育厅青创团队等多项经费资助。
相关工作展示
1. Xixi Li, Xiao Wang*, Yuli Zhao, Tongkai Wang, Yao Fu, Feifei Li, Gang Zhao, Xijin Xu*,CoP decorated SnS2 nanosheets with synergistic electronic and electrocatalysis sensitization for enhanced room temperature NO2 sensing, Sensors & Actuators: B. Chemical 389 (2023) 133883
2. Tongkai Wang, Xiaojuan Li, Chuanlin Li, Na Li, Xiao Wang *, Xijin Xu*, Multifunctional SnPx/GO composites for fully integrated and self-powered gas sensing system for NO2 detection, Sensors & Actuators: B. Chemical 382 (2023) 133507.
3. Xiao Wang*, Wenjing Liu, Tongkai Wang, Yuli Zhao, Gang Zhao, Shouwei Zhang, Jinzhao Huang, Xijin Xu*, Synthesis of multishelled SnOx/Co3O4 amorphous/crystalline heterophase with galvanic replacement reaction for superior HCHO sensing, Sensors and Actuators: B. Chemical, 2022, 350, 130876